Training a DeepTaxa Model

Modified

April 29, 2026

This tutorial demonstrates how to train DeepTaxa from scratch on 16S rRNA gene sequences, inspect the resulting model checkpoints, and visualize learning progress. By the end, you will have a trained classifier capable of assigning taxonomic labels from Domain to Species.

Training a deep neural network involves repeatedly adjusting the model’s parameters to reduce classification errors on a labeled dataset. Each pass through the full training set is called an epoch. After each epoch, the model is evaluated on a held-out validation set to monitor generalization and detect overfitting (the point at which the model begins memorizing training examples rather than learning transferable patterns).

Prerequisites - A CUDA-capable GPU (training on CPU is possible but roughly 10x slower) - Approximately 1 GB of disk space for the training data - 1 to 2 hours for the full training run described here

1 Setup

The following cells configure the Python environment and verify GPU availability.

Tip

The PATH modification and GPU verification below are specific to containerized environments (e.g., Vast.ai, Docker) where the system Python differs from the virtual environment. If you are running on a local machine with CUDA already configured, skip ahead to the installation step.

Listing 1: Configure PATH for containerized environments.
# Configure PATH so bash cells find the GPU-enabled Python
import os
os.environ['PATH'] = '/venv/main/bin:' + os.environ['PATH']

Verify GPU access.

Listing 2: Verify GPU availability.
import torch
print(torch.cuda.is_available())
print(torch.cuda.device_count())
print(torch.cuda.get_device_name(0) if torch.cuda.is_available() else 'No GPU')
True
1
NVIDIA A40

Install DeepTaxa and optional libraries for evaluation and plotting.

Listing 3: Install DeepTaxa and dependencies.
%%bash
mkdir -p ~/deeptaxa-workspace && cd ~/deeptaxa-workspace
test -d deeptaxa || git clone https://github.com/systems-genomics-lab/deeptaxa.git
cd deeptaxa && pip install -q .
pip install -q matplotlib scikit-learn

Confirm the installation.

Listing 4: Verify DeepTaxa installation.
%%bash
deeptaxa --version
DeepTaxa 0.1.0.dev1

2 Training Data

DeepTaxa trains on the Greengenes 2 reference database (release 2024.09), a curated collection of full-length 16S rRNA gene sequences with standardized seven-rank taxonomy annotations. The training subset contains approximately 277,000 sequences spanning over 16,000 species.

The class distribution is highly imbalanced: some species are represented by thousands of sequences, while others have fewer than five. This imbalance is inherent to reference databases and reflects the uneven sampling of microbial diversity in culture collections and environmental surveys.

Download the training sequences and taxonomy labels from Hugging Face.

Listing 5: Download training data from Hugging Face.
%%bash
cd ~/deeptaxa-workspace
mkdir -p data/greengenes && cd data/greengenes
test -f gg_2024_09_training.fna.gz || curl -L -O https://huggingface.co/datasets/systems-genomics-lab/greengenes/resolve/main/gg_2024_09_training.fna.gz
test -f gg_2024_09_training.tsv.gz || curl -L -O https://huggingface.co/datasets/systems-genomics-lab/greengenes/resolve/main/gg_2024_09_training.tsv.gz

List the downloaded files.

Listing 6: Verify training data files.
%%bash
ls -lh ~/deeptaxa-workspace/data/greengenes/
total 124M
-rw-rw-r--. 1 ahmed ahmed  25M Apr 29 01:51 gg_2024_09_testing.fna.gz
-rw-rw-r--. 1 ahmed ahmed 809K Apr 29 01:51 gg_2024_09_testing.tsv.gz
-rw-rw-r--. 1 ahmed ahmed  97M Apr 29 02:08 gg_2024_09_training.fna.gz
-rw-rw-r--. 1 ahmed ahmed 2.7M Apr 29 01:56 gg_2024_09_training.tsv.gz

3 Training

The training loop follows this sequence at each epoch:

flowchart LR
    A[Load Batch] --> B[Forward Pass] --> C[Compute Loss] --> D[Backpropagation] --> E[Update Weights]
    E --> F{More Batches?}
    F -->|Yes| A
    F -->|No| G[Validate & Save Checkpoint]
    G --> H{More Epochs?}
    H -->|Yes| A
    H -->|No| I[Done]
    style A fill:#d6efe8,stroke:#1f6b4f
    style G fill:#d8e4f0,stroke:#2a5278
    style H fill:#e4dced,stroke:#5a3d75
    style I fill:#f0e2d6,stroke:#994a2a

The deeptaxa train command orchestrates this entire pipeline. Only --fasta-file, --taxonomy-file, and --output-dir are required — all other flags default to the canonical SMALL values used in the published checkpoint.

Flag Purpose Default
--fasta-file Input sequences in FASTA format (required)
--taxonomy-file Tab-separated file mapping sequence IDs to taxonomy (required)
--output-dir Directory for checkpoints, metrics, and logs (required)
--model-type Architecture to use hybridcnnbert
--epochs Number of passes through the training set 10
--batch-size Number of sequences per gradient update 64
--learning-rate Learning rate 5e-4
--seed Random seed for reproducibility 42
--hidden-size Transformer hidden dimension 896
--num-hidden-layers Number of Transformer layers 4
--num-attention-heads Number of attention heads 7
--intermediate-size Transformer feed-forward dimension 3584
--embed-dim CNN embedding dimension 896
--num-filters CNN filters per kernel size 256
--kernel-sizes CNN kernel widths 3 5 7
--num-conv-layers Number of CNN layers 1
--hidden-dropout-prob Dropout probability 0.20

The architecture flags and seed above match the configuration used to produce the published DeepTaxa checkpoint. For details on what each architecture parameter controls, see the architecture tutorial.

Note

Training time depends on GPU model, batch size, and data loading speed. On an NVIDIA A40, each epoch takes approximately 14 minutes (total: roughly 2.5 hours for 10 epochs). On older hardware or with smaller batch sizes, expect proportionally longer runs.

Note

During training, DeepTaxa logs per-batch progress, loss values, and validation metrics to the console. NaN gradient warnings (if they appear) are handled automatically by skipping the affected batch.

Launch the training run.

Listing 7: Launch the 10-epoch training run.
%%bash
cd ~/deeptaxa-workspace
deeptaxa train --fasta-file data/greengenes/gg_2024_09_training.fna.gz --taxonomy-file data/greengenes/gg_2024_09_training.tsv.gz --model-type hybridcnnbert --output-dir outputs/training

4 Understanding Training Metrics

4.1 The loss function

DeepTaxa minimizes a weighted sum of cross-entropy losses, one per taxonomic rank:

\[\mathcal{L} = \sum_{r=1}^{R} w_r \cdot \text{CE}_r\]

where \(R = 7\) is the number of taxonomic ranks (Domain through Species) and \(w_r\) is the weight assigned to rank \(r\) (1.0 by default, giving equal importance to each level). Separate per-rank losses allow the model to train all seven classifiers simultaneously from a single forward pass.

For each rank \(r\), let \(\hat{y}_{i,c}^{(r)}\) denote the predicted probability for class \(c\) at rank \(r\) (the softmax output), and let \(y_i\) be the index of the true class for sequence \(i\). The cross-entropy at rank \(r\) is:

\[\text{CE}_r = -\frac{1}{N} \sum_{i=1}^{N} \log \hat{y}_{i,\, y_i}^{(r)}\]

where \(N\) is the number of sequences in the batch. The subscript \(y_i\) selects the predicted probability assigned to the correct class: the loss is large when the model assigns low probability to the correct answer and approaches zero as that probability approaches 1.0.

Note

DeepTaxa also supports focal loss (--loss-type focal), which down-weights well-classified examples and concentrates gradient updates on harder cases. This is particularly useful when the training data are highly imbalanced across classes. See the architecture tutorial for details.

4.2 Learning rate schedule

Training uses a linear warmup-and-decay schedule: the learning rate increases linearly from zero to the base rate over the first 10% of steps (warmup), then decreases linearly back to zero over the remaining 90% (decay). Warmup prevents early instability — the classification heads start from random weights and initially produce large, noisy gradients that would destabilize training if the full learning rate were applied immediately.

# --- Learning rate schedule ---
import numpy as np
import matplotlib.pyplot as plt

n_epochs = 10
batch_size = 64
lr_base = 5e-4
warmup_ratio = 0.1
n_train = int(277_000 * (1 - 0.1))  # approximate after 10% validation split

steps_per_epoch = int(np.ceil(n_train / batch_size))
total_steps = n_epochs * steps_per_epoch
warmup_steps = int(total_steps * warmup_ratio)

steps = np.arange(total_steps + 1)
lr = np.where(
    steps <= warmup_steps,
    lr_base * (steps / warmup_steps),
    lr_base * (1 - (steps - warmup_steps) / (total_steps - warmup_steps))
)

plt.figure(figsize=(8, 4))
plt.plot(steps, lr, color='#2a5278', linewidth=1.5)
for e in range(1, n_epochs + 1):
    plt.axvline(steps_per_epoch * e, color='#994a2a', linestyle=':', alpha=0.35, linewidth=0.8)
plt.axvline(steps_per_epoch, color='#994a2a', linestyle=':', alpha=0.35,
            linewidth=0.8, label='Epoch boundary')
plt.axvline(warmup_steps, color='gray', linestyle='--', alpha=0.8,
            label=f'Warmup end (step {warmup_steps:,})')
plt.xlabel('Training step')
plt.ylabel('Learning rate')
plt.legend()
plt.tight_layout()
plt.show()
Figure 1: Learning rate schedule over training steps. The warmup phase occupies the first 10% of steps; the decay phase covers the remaining 90%. Vertical dotted lines mark epoch boundaries.

4.3 Interpreting learning curves

Plotting training loss and validation loss over epochs reveals the model’s learning trajectory:

  • Both decreasing: the model is learning and generalizing to unseen data.
  • Training loss decreasing, validation loss increasing: the model is overfitting to the training data.
  • Both plateauing: the model has converged. Additional epochs are unlikely to improve performance.

Load the per-epoch metrics from the JSON files saved during training.

Listing 8: Load per-epoch training metrics.
# --- Load training metrics ---
import os
os.chdir(os.path.expanduser('~/deeptaxa-workspace'))

import json, glob, numpy as np, matplotlib.pyplot as plt

files = sorted(glob.glob('outputs/training/metrics/*epoch*.json'))
epochs, train_loss, val_loss = [], [], []
f1_data = {r: [] for r in range(7)}

for path in files:
    with open(path) as fh:
        d = json.load(fh)
    epochs.append(d['model_details']['current_epoch'])
    train_loss.append(d['performance_metrics']['training_loss'])
    val_loss.append(d['performance_metrics']['validation_loss'])
    for r in range(7):
        f1_data[r].append(d['performance_metrics']['validation_metrics'][str(r)]['f1_score'])

# Sort by epoch number
order = np.argsort(epochs)
epochs = [epochs[i] for i in order]
train_loss = [train_loss[i] for i in order]
val_loss = [val_loss[i] for i in order]
for r in range(7):
    f1_data[r] = [f1_data[r][i] for i in order]

print('Loaded metrics for', len(epochs), 'epochs')
Loaded metrics for 10 epochs

4.4 Training and validation loss

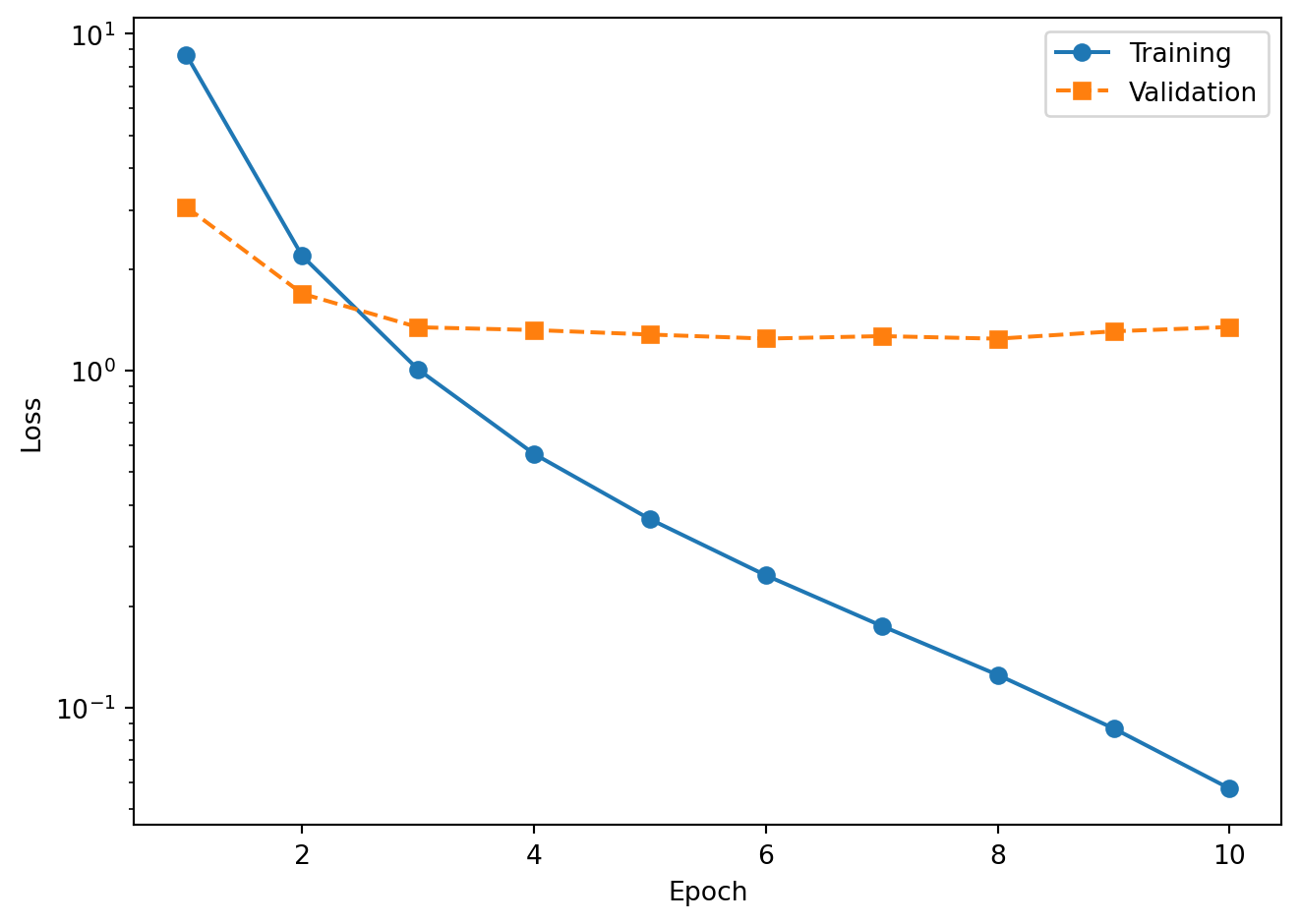
The logarithmic y-axis makes it easier to see the rate of improvement. Training loss decreases steadily as the optimizer adjusts the model weights. Validation loss should track the training loss; a widening gap between the two is the classic signature of overfitting.

Plot the loss curves.

# --- Loss curves ---
plt.figure()
plt.plot(epochs, train_loss, 'o-', label='Training')
plt.plot(epochs, val_loss, 's--', label='Validation')
plt.xlabel('Epoch')
plt.ylabel('Loss')
plt.yscale('log')
plt.legend()
plt.tight_layout()
plt.show()
Figure 2: Training and validation loss over epochs (log scale). A widening gap between the two curves indicates overfitting.

The training loss drops rapidly in the first few epochs and continues to decrease throughout. The validation loss follows a similar trajectory but flattens earlier as the model begins to overfit. The widening gap between the two curves at later epochs is the classic signature of overfitting, and it is precisely this signal that helps identify the best checkpoint (the epoch with the lowest validation loss).

4.5 Validation F1-score by taxonomic rank

The F1-score balances precision (fraction of predicted positives that are correct) and recall (fraction of true positives that are detected):

\[F_1 = 2 \cdot \frac{\text{Precision} \cdot \text{Recall}}{\text{Precision} + \text{Recall}}\]

The denominator is the harmonic mean rather than the arithmetic mean, which ensures that a low value in either precision or recall strongly depresses the score. A classifier that achieves 90% precision but only 10% recall gets an \(F_1\) of 0.18, not 0.50.

Higher taxonomic ranks (Domain, Phylum) converge within the first epoch because the model needs to learn only a small number of coarse-grained distinctions. Lower ranks (Genus, Species) require more epochs to reach their peak performance because the number of classes is orders of magnitude larger and the distinguishing sequence features are more subtle. For a comparison of macro versus weighted F1 and its implications for class-imbalanced data, see the analysis tutorial.

Plot the F1 trajectory for each rank.

# --- F1 by rank ---
RANK_LABELS = ['Domain', 'Phylum', 'Class', 'Order', 'Family', 'Genus', 'Species']

plt.figure()
for r in range(7):
    plt.plot(epochs, f1_data[r], 'o-', label=RANK_LABELS[r])
plt.xlabel('Epoch')
plt.ylabel('Validation F1')
plt.ylim(0.5, 1.02)
plt.legend(ncol=2)
plt.tight_layout()
plt.show()
Figure 3: Validation F1-score by taxonomic rank over training epochs. Higher ranks converge within the first epoch; Species requires the most training.

The plot shows rapid convergence at Domain through Order (above 0.98 by epoch 2) and a more gradual climb at Genus and Species. The Species F1 curve is the one to watch: it reflects the model’s ability to resolve the finest-grained taxonomic distinctions, which is the most challenging and practically relevant task.

5 Checkpoint Inspection

After each evaluation epoch, DeepTaxa saves a checkpoint file (.pt) containing everything needed to resume training or run inference:

  • Model weights: all learnable parameters (convolutional filters, attention matrices, classification heads), required for inference and for resuming training.
  • Optimizer state: the AdamW (Loshchilov & Hutter, 2019) momentum buffers, which accumulate the running mean and variance of recent gradients for each parameter; without these, resumption restarts momentum from zero, slowing convergence.
  • Scheduler state: the current position in the learning rate warmup and decay schedule; without it, the learning rate resets to its initial value rather than continuing from where training left off.
  • GradScaler state: the mixed-precision loss scaling factor, which preserves numerical stability for FP16 gradients across resumed runs.
  • Label encoders: the mapping between taxonomy strings (e.g., “Pseudomonadota”) and integer class indices, required to decode model output back to human-readable labels at inference time.

Inspect the epoch 10 checkpoint using the deeptaxa describe command, which summarizes the checkpoint contents without loading the full model onto a GPU.

Listing 9: Inspect the final checkpoint.
%%bash
cd ~/deeptaxa-workspace
DEEPTAXA_UUID=$(cat outputs/training/deeptaxa_uuid.txt)
echo "Run UUID: ${DEEPTAXA_UUID}"
deeptaxa describe --checkpoint outputs/training/checkpoints/deeptaxa_${DEEPTAXA_UUID}_epoch10.pt
Run UUID: 2026_04_29T02_08_53_a9efd989_bf0d_4ea8_ae66_88a027005ab3
2026-04-29 04:39:31,634 - INFO - 
======================================================================
          DeepTaxa Model Description (v0.1.0.dev1)
--------------------------------------------------
          Checkpoint: outputs/training/checkpoints/deeptaxa_2026_04_29T02_08_53_a9efd989_bf0d_4ea8_ae66_88a027005ab3_epoch10.pt
          Timestamp: 2026-04-29T04:39:31.634207
======================================================================

Model Details:
--------------------------------------------------
                   run-uuid: 2026_04_29T02_08_53_a9efd989_bf0d_4ea8_ae66_88a027005ab3
                 model-type: hybridcnnbert
                  tokenizer: zhihan1996/DNABERT-2-117M
                      epoch: 10
           total-parameters: 76,365,205
                 max-length: 512
                  embed-dim: 896
                num-filters: 256
               kernel-sizes: [3, 5, 7]
            num-conv-layers: 1
                hidden-size: 896
          num-hidden-layers: 4
        num-attention-heads: 7
          intermediate-size: 3,584
          output-attentions: 0
        hidden-dropout-prob: 0.2

Training Hyperparameters:
--------------------------------------------------
              learning-rate: 0.0005
                 batch-size: 64
              target-epochs: 10
                focal-gamma: 2.0
              level-weights: [1.0, 1.0, 1.0, 1.0, 1.0, 1.0, 1.0]
                  optimizer: {'lr': 0.0005, 'betas': [0.9, 0.999], 'eps': 1e-08, 'weight_decay': 0.01}
            scheduler-steps: 34,670

Dataset Info:
--------------------------------------------------
            total-sequences: 277,336
                   training: 221,868
                 validation: 55,468
                 fasta-file: data/greengenes/gg_2024_09_training.fna.gz
              taxonomy-file: data/greengenes/gg_2024_09_training.tsv.gz

Taxonomic Levels:
--------------------------------------------------
  Level 0 -          domain: 2 labels
  Level 1 -          phylum: 129 labels
  Level 2 -           class: 349 labels
  Level 3 -           order: 997 labels
  Level 4 -          family: 2250 labels
  Level 5 -           genus: 7287 labels
  Level 6 -         species: 16909 labels

Timing:
--------------------------------------------------
              training-time: 842.550651 seconds
            evaluation-time: 52.981471 seconds

System Info:
--------------------------------------------------
                       cuda: Available
                        gpu: NVIDIA A40

The output shows the model architecture, parameter counts, training epoch, and the taxonomic ranks with their class counts. This information is useful for verifying that the checkpoint matches the expected configuration before using it for prediction.

6 Prediction on the Test Set

Download the test data and run prediction using the epoch 10 checkpoint.

Listing 10: Run prediction on the held-out test set.
%%bash
cd ~/deeptaxa-workspace
DEEPTAXA_UUID=$(cat outputs/training/deeptaxa_uuid.txt)
CHECKPOINT=outputs/training/checkpoints/deeptaxa_${DEEPTAXA_UUID}_epoch10.pt
test -f data/greengenes/gg_2024_09_testing.fna.gz || curl -L -o data/greengenes/gg_2024_09_testing.fna.gz https://huggingface.co/datasets/systems-genomics-lab/greengenes/resolve/main/gg_2024_09_testing.fna.gz
test -f data/greengenes/gg_2024_09_testing.tsv.gz || curl -L -o data/greengenes/gg_2024_09_testing.tsv.gz https://huggingface.co/datasets/systems-genomics-lab/greengenes/resolve/main/gg_2024_09_testing.tsv.gz
deeptaxa predict --fasta-file data/greengenes/gg_2024_09_testing.fna.gz --taxonomy-file data/greengenes/gg_2024_09_testing.tsv.gz --checkpoint $CHECKPOINT --tabular --output-dir outputs/workflow_predictions

Print the per-rank accuracy on the test set to see how the trained model performs.

Listing 11: Per-rank accuracy and weighted F1 on the test set.
# --- Test set accuracy ---
import os
os.chdir(os.path.expanduser('~/deeptaxa-workspace'))

import pandas as pd
from sklearn.metrics import accuracy_score, f1_score

RANKS = ['domain', 'phylum', 'class', 'order', 'family', 'genus', 'species']
pred_files = sorted(glob.glob('outputs/workflow_predictions/*_predictions.tsv'))
test_df = pd.read_csv(pred_files[0], sep='\t')

print(f'Test sequences: {len(test_df):,}')
print()
print(f'{"Rank":8s}  {"Accuracy":>8s}  {"Weighted F1":>11s}')
print('-' * 31)
for r in RANKS:
    acc = accuracy_score(test_df[f'{r}_true'], test_df[f'{r}_predicted'])
    f1 = f1_score(test_df[f'{r}_true'], test_df[f'{r}_predicted'], average='weighted', zero_division=0)
    print(f'  {r.capitalize():8s}  {acc:8.4f}  {f1:11.4f}')
Test sequences: 69,335

Rank      Accuracy  Weighted F1
-------------------------------
  Domain      0.9998       0.9998
  Phylum      0.9969       0.9967
  Class       0.9963       0.9959
  Order       0.9904       0.9893
  Family      0.9861       0.9842
  Genus       0.9686       0.9641
  Species     0.9298       0.9213

7 Summary

This tutorial covered the full training lifecycle: preparing data, configuring and launching a training run, inspecting checkpoints, interpreting loss curves and per-rank F1 trajectories, and evaluating the trained model on held-out test data.

The training run demonstrated here follows the same procedure, data, seed, and architecture used to produce the published DeepTaxa checkpoint (10 epochs on the full Greengenes dataset), which achieved 93.0% species-level accuracy and 92.0% weighted F1-score.

For prediction with the published pre-trained model, see the prediction tutorial. For in-depth analysis of model behavior, see the analysis tutorial.

8 Appendix: Key Concepts

Epoch. One complete pass through the entire training dataset. During each epoch, the model processes every sequence once (in random order, via mini-batches) and updates its parameters after each batch.

Overfitting. When a model performs well on the training data but poorly on unseen data. This happens when the model memorizes training examples rather than learning generalizable patterns. Monitoring validation loss is the standard way to detect overfitting.

Cross-entropy loss. A loss function for classification tasks that measures the discrepancy between the model’s predicted probability distribution and the true label. It equals \(-\log p_t\), where \(p_t\) is the predicted probability of the correct class. Lower cross-entropy indicates better predictions.

Learning rate schedule. The learning rate controls the step size of each parameter update. Starting large allows rapid initial progress; gradually reducing it allows fine-grained convergence. DeepTaxa uses linear warmup (increasing from zero to the base rate over the first 10% of steps) followed by linear decay (decreasing back to zero over the remaining 90%).

References

Loshchilov, I., & Hutter, F. (2019). Decoupled weight decay regularization. International Conference on Learning Representations (ICLR). https://arxiv.org/abs/1711.05101